沙尘气溶胶效应和天气动力条件对降水雨顶高度的影响研究取得新进展
作者: 发布日期:2023-03-03 浏览:
近日,中国科大地球和空间科学学院和火灾科学国家重点实验室双聘教授李锐课题组在气溶胶-云-降水相互作用方面取得重要进展,研究成果以“The impacts of dust aerosol and convective available potential energy on precipitation vertical structure in southeastern China as seen from multisource observations”为题,发表在地球科学知名期刊Atmospheric Chemistry and Physics(影响因子7.197)上。中国科大地球和空间科学学院大气科学专业博士研究生朱红霞为论文的第一作者,李锐教授为通讯作者。博士研究生杨述评、黄辰协助提供了数值模拟和数据分析,赵纯教授和姜哲研究员也参与了本项研究。 沙尘气溶胶是陆地气溶胶质量比例占比最大的一种,可以作为冰核(IN)和云凝结核(CCN)来影响云和降水。目前,沙尘气溶胶对气候的间接影响的研究已经从定性转向定量,期望沙尘气溶胶对云和降水的影响可以在数值模型中得到准确描述。实际观测中的云或降水的物理特性受到气溶胶间接效应、大气热力学和动力学效应的影响。但是,将这些效应分离出来是云气溶胶相互作用观测研究中最困难的部分。 本研究选取了远离沙尘源地的中国华南地区作为研究区域。在这里,沙尘天往往伴随着强西北风、强风切变、较低的温度和弱对流有效位能(CAPE)。这种相对固定的天气条件有利于将气溶胶的间接效应与动力效应分开。在这项研究中,我们试图通过对多源卫星观测的分析,用新的数学处理方法,分离出气象条件和气溶胶条件对降水垂直结构的影响。特别研究了CAPE和沙尘气溶胶对中国华南地区降水粒子形成、潜热释放过程和降水宏观物理垂直特征的影响。此外,还定量研究了雨顶温度(PTT)对CAPE和气溶胶光学厚度(AOD)的敏感性。 首先,发现沙尘降水和洁净降水的平均垂直廓线存在差异(图1)。对于相同的PTT,在上层,沙尘环境中的平均降水率弱于洁净降水;而在中层,沙尘降水率明显大于洁净降水,沙尘条件下近地面的降水率也较大。通过量化降水的增长速度,发现在上层,沙尘降水的增长速度较慢。但在中间层,沙尘降水的增长速度明显快于洁净降水。这些现象证实了沙尘可以增强异质冻结过程,并导致降水速率可观察到的明显变化。

图1 在给定的近地表降水降水率(NSRR,第一行)和雨顶温度(PTT,第二行)条件下,洁净(虚线)和沙尘(实线)条件下的层性(a,d)、对流(b,e)和暖雨(c,f)降水垂直廓线的差异。不同的颜色表示不同的NSRR和PTT,子图重点关注混合层(-5~2°C)的降水。
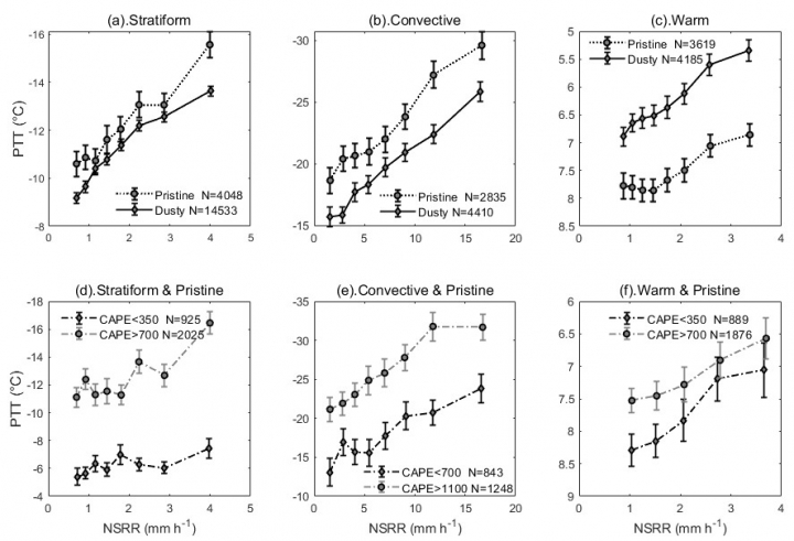
作为上述微观物理过程的宏观表现,我们发现,在一定的地表降水率下,沙尘降水的PTT比洁净降水的PTT要高(图2)。这是由特定的天气条件和潜在的气溶胶对沙尘天的间接影响共同决定的。通过量化分离这两种效应,发现CAPE每减少100 J/kg,对流降水和层性降水的初始PTT将分别增加0.65°C和0.41°C。这是沙尘天PTT偏暖的第一个原因。此外,大气中的沙尘气溶胶光学厚度每增加一个单位,对流降水和层性降水的PTT将分别增加4.19°C和0.35°C。这是沙尘天降水的PTT偏暖的第二个原因。

图2 洁净(虚线)、沙尘(实线)条件下(第一行),以及洁净条件不同CAPE(黑线:弱CAPE,灰线:强CAPE)条件下(第二行),层性(a,d)、对流(b,e)和暖雨(c,f)的PTT与NSRR的关系。
根据我们的认识,这是第一次从真实的卫星观测中分离出气溶胶对卫星观测到的PTT的贡献。这些结果提高了我们对冰相云物理过程的理解、并可用于定量评估云模式中与沙尘气溶胶IN效应有关的模式参数化性能。本文中分离动力条件和气溶胶条件对云降水影响的方法(详见原文)同样也可以应用于其他地区。
全文链接:
https://doi.org/10.5194/acp-23-2421-2023